打开APP

Nature Biotechnology:基因“静音”艺术?不“剪”基因,我们如何实现精准长效疾病调控

研究人员通过系统性的设计与优化,开发出一种高效、持久且安全的表观遗传调控工具,并在非人灵长类动物模型中,成功实现了对关键致病基因长达近一年的“静音”。

2025-10-15

Nature Medicine:潜伏“幽灵”——带状疱疹病毒与老年痴呆惊人联系!

这项里程碑式的研究,通过一系列环环相扣、层层递进的证据,为我们描绘了一幅关于VZV再激活与痴呆风险的清晰图景

2025-10-09

Science:癌症信号发现揭示了开发更有效抗癌药物潜在途径

在这项研究中,Taylor与来自美国各地的科学家团队展示了mTORC2如何识别其靶标,以及如何仅阻断mTORC2复合物而不触碰mTORC1,从而切断对癌细胞的生长信号。

2025-12-27

JAMA Neurol:长期服用新ALS药物有望稳定渐冻人症患者症状

研究提供了由WashU Medicine共同领导的tofersen 3期试验及其开放标签扩展研究的长期随访结果,这些研究是FDA在2023年批准该药用于治疗这种罕见ALS形式的基础。

2025-12-28

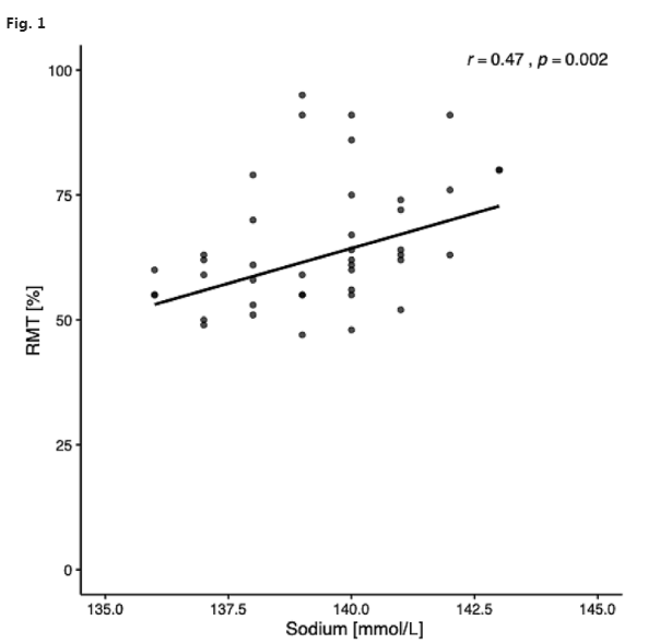
Sci Rep:你“钠值”还好吗?大脑“兴奋度”可能悄悄被它左右!

来自瑞士巴塞尔大学等机构的科学家们通过对42名健康年轻人的数据分析发现,血浆钠浓度(在正常值136-143 mmol/L之间)与大脑皮层兴奋性存在显著关联。

2026-01-12

Nature:肝细胞癌“幕后推手”:β-连环蛋白突变与肝脏区域化

区域特性决定了肝细胞对WNT驱动的肿瘤发生的易感性,而逃避WNT诱导的分化对肝癌至关重要。

2025-12-31

Adv Mater:定制无异种聚合物表面促进肠道干细胞动态迁移

通过阐明在无异种成分环境中同时增强干细胞存活、迁移和再生的机制,该团队为从根本上解决干细胞疗法中的安全、监管和生产力问题奠定了基础。

2026-01-05

Nature Biotechnology:基因“静音”艺术——不“剪”基因,我们如何实现精准长效疾病调控?

过系统性的工程化设计,研究人员最终得到了一种近乎理想的表观遗传沉默工具`EpiReg-T`。

2025-10-06

Science:利用新蛋白质图谱技术揭示细胞内部工作原理

这项研究标志着单细胞生物学的转折点:能够在原代人类组织中以单细胞分辨率直接测量蛋白质。它开启了发现发育、疾病和再生过程中隐藏调控层面的大门——这些是仅靠RNA永远无法揭示的层面。

2025-08-29